东🚩热美女🌈 1,2-二(N-甲基吡咯烷酮)乙基氫氧化铵_大有化工_石油化工助劑類_分子篩類_季铵鹽類_季铵堿類
1,2-二(èr)(N-甲基吡咯烷酮)乙(yi)基氫氧化铵
産品概要(yao)
25% 水溶液
0.0 0.0
産品描述

分子(zi)式

CAS

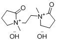
結構式

1,2-二(N-甲基(ji)吡咯烷酮)乙基氫(qīng)氧化铵

C13 H24 Br2 N2 O2

1

關(guān)鍵詞:
未找到相(xiàng)應參數組,請于後(hou)台屬性模闆中添(tiān)加

聯系(xi)信息

聯系方式與職位(wei)
企(qi)業信息

全國(guó)服務熱線:

020-38372756

公司:廣州大有(you)精細化工廠
地址:廣州市(shi)天河區珠江新城(cheng)花城大道85号高德(dé)置地❄️春廣🈲場A座3206B

電話: 020-38372756

業務咨詢: 13902251328 (王(wang)女士)
傳真:020-38372797

郵箱: [email protected]

总 公 司急 速 版WAP 站H5 版无线端AI 智能3G 站4G 站5G 站6G 站
·
 
·
·
·
 
 
·